成人片

您现在的位置 > 主页 > 新闻资讯 > 成人片

北京市PM2.5实现连续三年稳定达标 攻坚克难 全力稳固空气质量改善成果

2023年,对北京市大气污染治理工作来说,是极为不易的一年。这一年,正值气候周期转换、气象条件整体不利,同时又遭遇了多次外来沙尘影响,且发生频率和严重程度为近十年来之最,影响空气质量的外在因素形势严峻;加之这一年疫情防控转段,社会经济活动水平回升、区域排放强度回到疫情前正常水平,如何通过加大大气污染治理力度来减缓不利气象条件的影响、通过综合手段降低污染排放水平,都对北京市大气污染治理工作提出了严峻挑战。

面对挑战,在生态环境部统筹下,北京市与周边省区市积极开展联防联控联治,抓住一切有利时机,利用一切有利条件,努力以自身工作的确定性应对形势变化的不确定性。通过产业结构转型、能源结构优化、车辆结构调整,创新监管模式、持续扬尘治理百日攻坚、深入区域协同,攻坚克难,一微克一微克地抠,稳住了空气质量改善成果。

PM2.5连续三年稳定达标,空气质量改善成效稳固

经过全市共同努力,2023年,北京市大气环境中四项主要污染物持续稳定达到国家空气质量二级标准。其中,细颗粒物(PM2.5)年均浓度为32微克/立方米,实现连续三年稳定达标;可吸入颗粒物(PM10)、二氧化氮(NO2)、二氧化硫(SO2)等其他三项主要污染物的年均浓度分别为61、26和3微克/立方米,均持续多年稳定达标。


(图1 2023年四项主要污染物年均浓度及达标情况)

连续PM2.5“蓝天”数超半年。2023年PM2.5优良天数占比达九成,PM2.5最长连续优良天数为192天,比去年增加了20天,相较2013年的13天,更是由不到半个月增加到了超过半年。回顾这一年,手机里、镜头下的蓝天、白云、晚霞,给市民带来了许多美好的回忆。

(图2 2013-2023年PM2.5级别日历图)

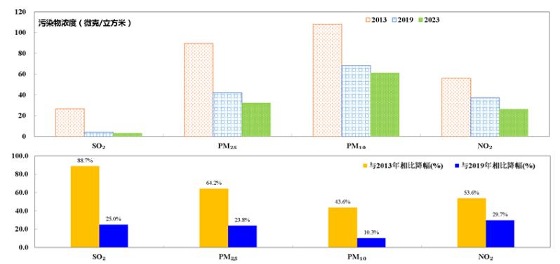
空气质量保持整体改善趋势。经过二十多年的努力,特别是党的十八大以来,北京市大气污染治理各项措施环境效益持续释放,空气中主要污染物浓度呈现长期整体下降趋势。与2013年相比,2023年PM2.5、PM10、NO2、SO2分别下降64.2%、43.6%、53.6%、88.7%,空气质量实现根本改善;与社会经济活动和扩散条件水平相似的2019年相比,2023年PM2.5、PM10、NO2、SO2分别下降23.8%、10.3%、29.7%、25.0%,空气质量整体保持改善趋势。

(图3 2013、2019、2023年四项主要污染物年均浓度变化)

天不帮忙人更努力 综合施策深化减排

面对不利因素叠加,北京市积极发挥“人努力”的作用,一微克一微克地抠,深挖减排潜力,推动机动车及机械电动化进程,持续散煤清洁化替代,强化政策一体化推进及执法监管,通过“组合拳”,实现主要污染物减排,全力稳住了空气质量改善成果。

减排“组合拳”持续发力,排放增量“压减了”

疫情期间,生产、交通、用能等非正常减少,使得污染排放非常态大幅降低。2023年,随着社会经济运转恢复,京津冀区域主要工业品产量不同程度上升,京津冀及周边区域NO2遥感监测柱浓度水平同比总体升高约两成。北京市交通运输活跃度显著提升,交通排放活动水平增幅两成;工业生产及社会服务稳步回暖。疫情后社会经济水平快速恢复,区域污染排放水平明显上升,对空气质量持续改善造成前所未有的压力和挑战。在社会活动水平全面恢复,生产生活排放增加的大背景下,北京市多措并举,深挖减排,最大限度压减排放增量。

一方面,实施氮氧化物(NOx)减排行动。

“油换电”“油换氢”,推动交通结构不断优化。出台了加快新能源汽车推广、鼓励汽车更新换代、居住区新能源汽车充电“统建统服”试点等方案,以及建筑垃圾运输车、环卫车、混凝土车、施工机械电动化鼓励政策,累计推广新能源车74万辆,近40%叉车实现“电动化”,近七成的公交、出租车为新能源车。大力推进清洁采暖工程,推动能源结构绿色低碳。在平原区基本实现“无煤化”的基础上,向远郊区农村地区拓展“煤改电”工程,2023年又惠及3万余户,助力群众温暖过冬。啃下工程减排“硬骨头”,又完成23台燃油锅炉清洁化改造,490蒸吨燃气锅炉NOx深度治理。

另一方面,深度治理挥发性有机物(VOCs)。

针对全市VOCs排放来源广、治理难的特征,围绕汽修园区、餐饮油烟、建筑类涂料和胶粘剂等实施八大专项行动。源头监管,发布符合北京市《建筑类涂料与胶粘剂VOCs含量限值标准》产品目录通告,禁止生产、销售溶剂型涂料、胶粘剂等高VOCs含量产品;组织工地建设单位通过招标文件等方式对施工单位提出使用符合本市标准产品的相关要求;发布沥青混合料绿色评价技术指南、交通行业推广绿色沥青混合料应用指导意见等。持续开展产业园区VOCs移动走航,实时溯源污染高值,联合多方优化溯源整治机制,对汽修企业集群加强巡查监测、监管执法,溯源发现问题并组织整改。

百日攻坚“三尘共治”,扬尘污染“管住了”

2023年,外来沙尘多次频繁影响北京,根据空气质量监测结果统计,全年共有30天受到外来沙尘的直接影响,全年8天重污染日中有6天是外来沙尘造成的重污染日。其中,4月中旬发生一次严重沙尘污染过程,造成2天6级严重污染、2天5级重度污染、1天4级中度污染,PM10小时峰值浓度达到1384微克/立方米,是近十年空气质量受到外来沙尘影响最重的年份,区域颗粒物本底浓度明显增加。

面对不可抗拒的外来沙尘影响,北京市发扬“一微克”精神,举全市之力,百日攻坚,力克沙尘带来的扬尘“二次污染”。

实施施工、道路、裸地扬尘“三尘共治”,加强施工扬尘管控、道路清扫保洁、裸地生态化“绿色”治理。大到成规模的工地、纵横的背街小巷,小到一道施工工序、一排屋顶瓦片,把可能产生扬尘的重点区域都纳入管理。各部门齐抓共管,属地强化监管,持续开展扬尘百日攻坚,同时,通过地面高密度监测、卫星遥感、道路尘负荷走航、施工工地视频系统监测,发现问题、督促整改。通过专题调度、问题通报、专项督查、问题闭环销号、媒体曝光等方式,全力推进扬尘专项治理。2023年,全市降尘量为3.6吨/平方公里·月,较2019年下降37.9%,城市洁净度明显提升。

机制创新协同深化,空气质量“稳住了”

减排是硬道理,气候异常带来的不确定性要靠更多的减排来冲抵。与社会经济活动和扩散条件水平相似的2019年相比,2023年北京市PM2.5年均浓度下降23.8%,PM2.5重污染日由2019年的4天减少至2天(扣除沙尘日),污染程度明显减轻,空气质量明显改善,体现了污染过程中精准治污联防联控削峰降速作用。

一方面,“三监联动”让污染防治更精准。

2023年,北京市创新机制,打造了“监测部门感知发起、监管部门统筹调度、监察部门执法检查”的精准调度智慧体系,其中监管部门是“发动机”,监测部门则是“哨兵”“耳目”,执法部门发挥“铁拳”作用,各司其职、精密配合,监管执法效能大大提升。

其次,夯实了“天上看、地上巡、数据联、电量核”大数据监测网络,初步实现空气质量、污染源排放、经济社会运行三板块数据融通,市、区、街乡镇三级调度联通,形成了“监测精准科学发现问题-远程调度督导-现场核查解决”的闭环管理机制,有效支持非现场执法,助力精准执法。

结合“三监联动”工作机制,市区协力、科技助力,开展涉气专项检查。城管执法部门查处大气类违法行为37310起;公安、生态环境部门联合开展“黑加油站点、非法流动加油车”专项执法行动,破获刑事案件42起、刑事拘留62人,查获改装流动加油车61辆、油罐2个,形成有力震慑。

另一方面,区域协同全面深化拓展。

在生态环境部的统筹带领下,京津冀及周边地区协同发力,拧成“一股绳”,下好“一盘棋”。特别是,聚焦秋冬季重污染多发等影响群众获得感的突出问题,区域协同、连续7年开展秋冬季大气污染综合治理攻坚,强化数据互通共享,步调一致、修改完善空气重污染应急预案,强化绩效分级、差异化精准管控,共同做好重污染应急应对、“削峰降速”。经过多年共同努力,大气污染治理联动更紧密、步调更统一、机制更完善,区域空气质量实现了同步明显改善。

稳中求进,继续全力以赴打好蓝天保卫战

近年北京市空气质量明显改善。2023年,面对多种不利条件叠加,北京市直面挑战、攻坚克难,持续深入实施“一微克”行动,在生态环境部统筹下,会同周边省区市协同减排,空气质量实现连续稳定达标,大大增强了进一步改善空气质量的信心。同时,我们也看到,大气污染治理的长期性、艰巨性和复杂性依然存在,空气质量改善成效仍不稳固,空气质量将是一个波动式改善、螺旋式上升的过程,蓝天保卫战既是攻坚战又是持久战,需要坚持不懈、久久为功。

下一步,北京市将坚决落实中央经济工作会议和北京市第十三届委员会第四次全体会议精神,加强生态文明建设,打好蓝天碧水净土保卫战。落实空气质量持续改善行动计划,以改善空气质量为核心,以减少重污染天气和解决人民群众身边的突出大气环境问题为重点,以降低PM2.5浓度为主线,大力推动NOx和VOCs减排,不断深化“一微克”行动,扎实推进产业、能源、交通绿色低碳转型,实现环境效益、经济效益和社会效益多赢,以高质量生态环境支撑首都高质量发展,让绿水青山成色更足。

(来源:北京市生态环境局)

上一篇:习近平:以美丽中国建设全面推进人与自然和谐共生的现代化

下一篇:《绿色丝绸之路发展报告(2023)》在京发布

其他栏目 >>